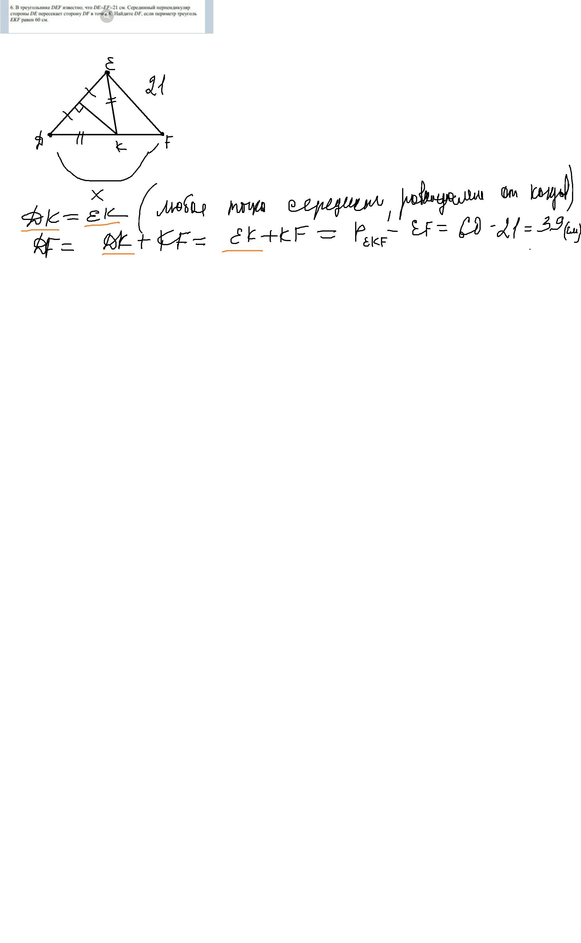
Ответы
Ответ дал:
1
Ответ:
Объяснение:Помогите пожалуйста!!!
Приложения:

avokadik92:
спасибо большое
Вас заинтересует
1 год назад
1 год назад
1 год назад
1 год назад
3 года назад
3 года назад
8 лет назад