Ответы
Ответ дал:
0
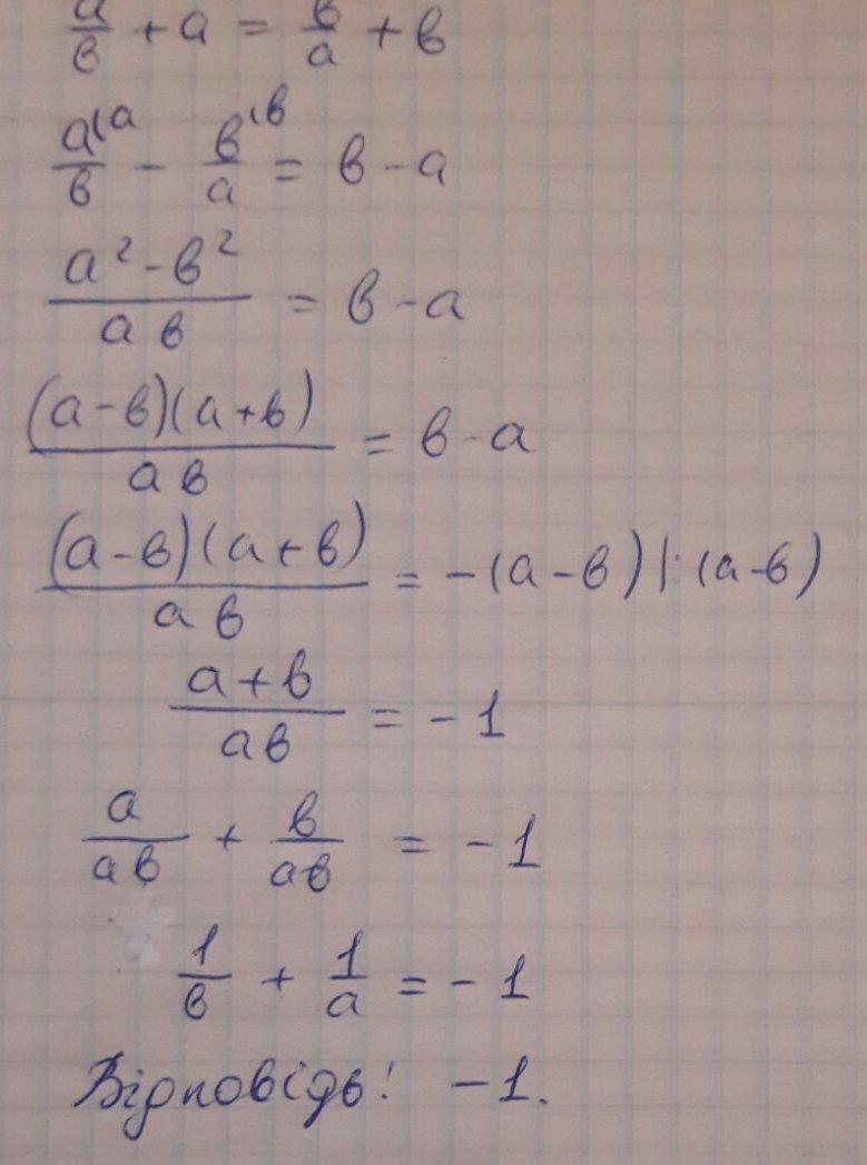
Ответ: -1
Если будут вопросы- обращайтесь:)
Ответ дал:
0
Відповідь:
Пояснення:
Приложения:

Вас заинтересует
1 год назад
1 год назад
1 год назад
1 год назад
3 года назад
3 года назад
8 лет назад