Ответы
Ответ дал:
0
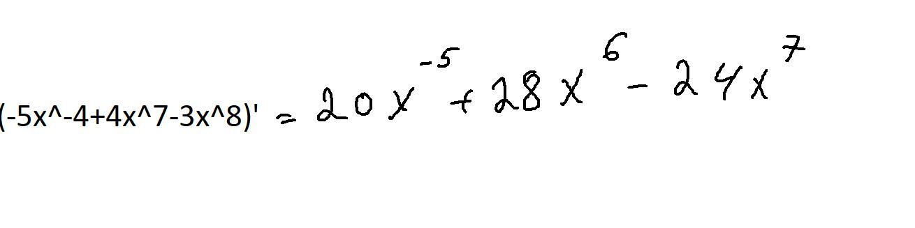
Решение на фото.
Стараюсь быть лучшим для вас)
Приложения:

Вас заинтересует
1 год назад
1 год назад
1 год назад
3 года назад
3 года назад
8 лет назад