• Предмет: Математика
  • Автор: di210801
  • Вопрос задан 2 года назад

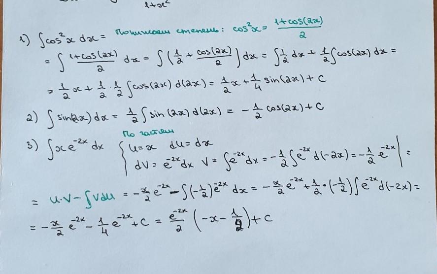
Помогите пожалуйста решить интегралы и написать какие именно формулы и методы используются

Приложения:

Ответы

Ответ дал: Miroslava227
0

Ответ:

решение на фотографии

Приложения:
Вас заинтересует