• Предмет: Математика
  • Автор: Vilar141
  • Вопрос задан 2 года назад

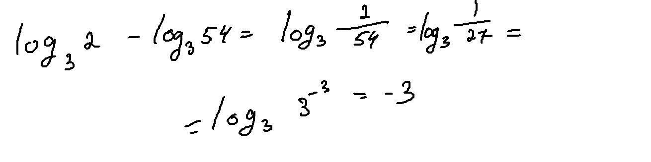
Вычислить значение выражения: Log3 2(вверху) - Log3 54(вверху)

Ответы

Ответ дал: studyprogrammer2019
1

Решение на фото.

Стараюсь быть лучшим для вас)

Приложения:
Вас заинтересует