Ответы
Ответ дал:
0
Ответ:
хватит уже удалять вопросы ;)
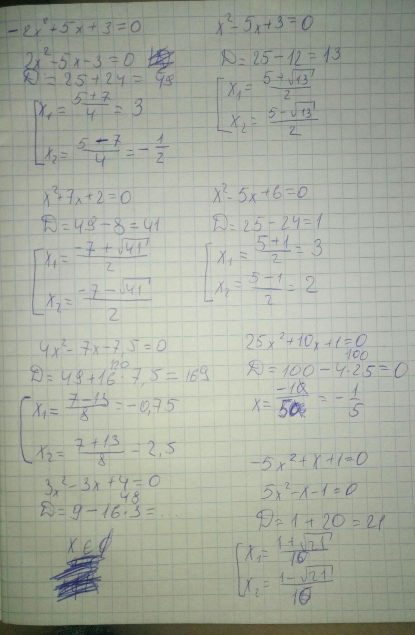
Приложения:

Вас заинтересует
1 год назад
1 год назад
1 год назад
1 год назад
3 года назад
8 лет назад