• Предмет: Алгебра
  • Автор: 1leva
  • Вопрос задан 2 года назад

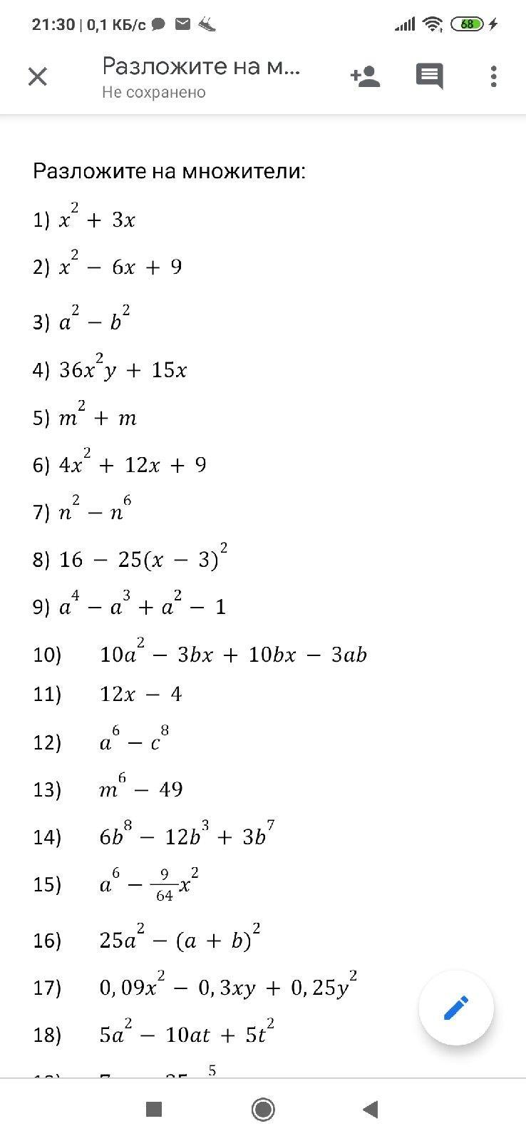
помогите сделать примеры

Приложения:

Ответы

Ответ дал: alika585
0

Ответ:

1. x(x+3)

2. (x-3)^2

3. (a+b)*(a-b)

5. m(m+1)

6. (2x+3)^2

11.4(3x-1)

13.(m^3-7)*(m^3+7)


1leva: спасибо
alika585: пожалуйста
Ответ дал: solomiyatim
0

1)x(x+3)

2)(x-3)²

3)(a-b)(a+b)

4)3x(12xy+5)

5)m(m+1)

6)(2x+3)²

7)(n-n³)(n+n³)

8)(4-5x+15)(4+5x-15)=(19-5x)(5x-11)

9)a³(a-1)+(a-1)(a+1)=(a-1)(a³+a+1)

10)10(a²+bx)-3(a²+bx)=7(a²+bx)

11)4(3x-1)

12)(a³-a⁴)(a³+a⁴)

13)(m³-7)(m³+7)

14)3b³(2b^5 -4+7b⁴)

15)(a³-3/8x)(a³+3/8x)

16)(5a-a-b)(5a+a+b)=(4a-b)(6a+b)

17)(0.3x-0.5y)²

18)5(a-t)²

Если будут вопросы- обращайтесь:)


1leva: большое спасибо
Вас заинтересует