• Предмет: Математика
  • Автор: viktori1951
  • Вопрос задан 2 года назад

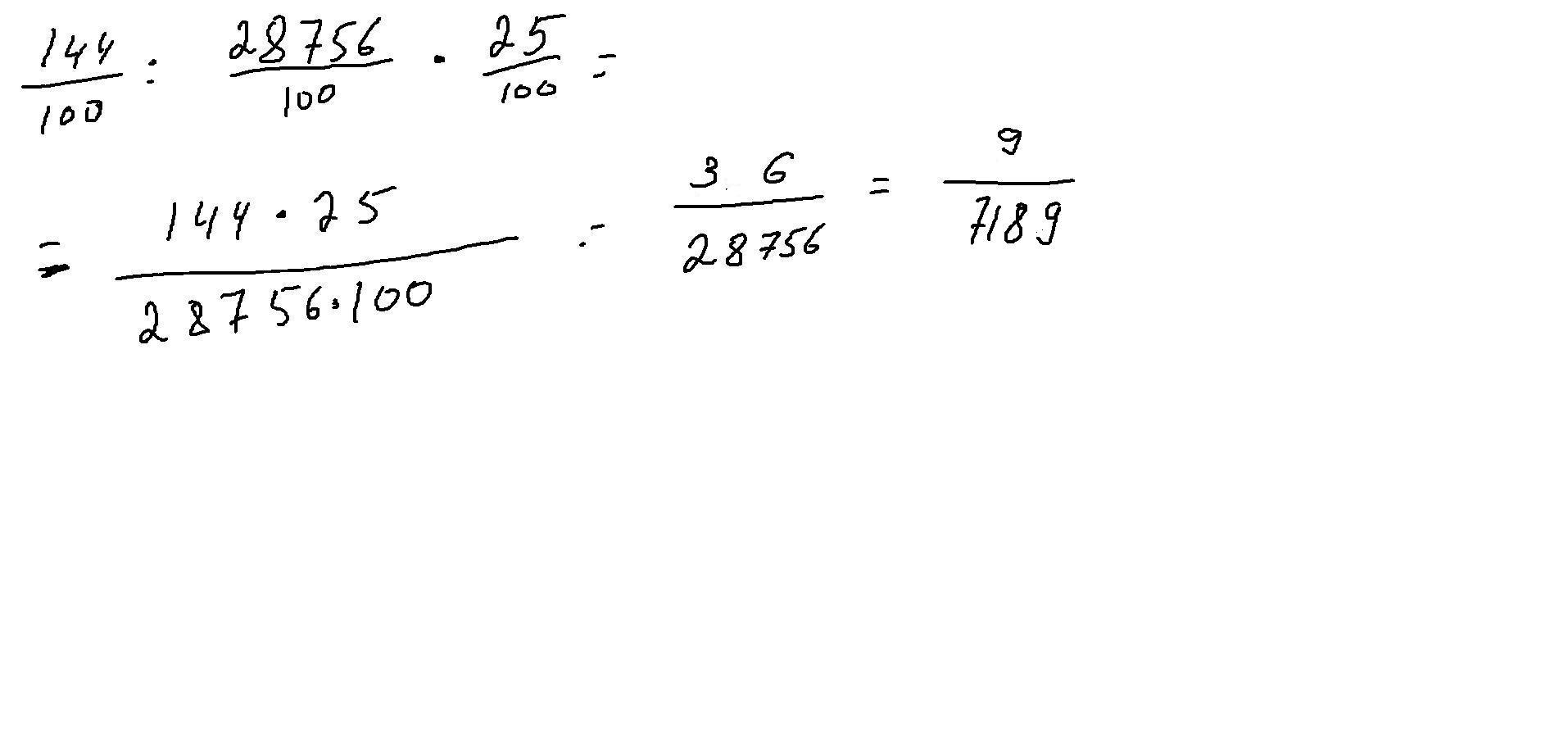
1,44 / 287,56 * 0,25 ​

Ответы

Ответ дал: studyprogrammer2019
1

Решение на фото.

Стараюсь быть лучшим для вас)

Приложения:

exbntkm23: ytn
exbntkm23: нетр
exbntkm23: нет
exbntkm23: при сокращении 144 на 4 будет не 26 и 1, а 36 и 1.
Ответ дал: exbntkm23
1

1,44 / 287,56 * 0,25 =9/7189

1,44:287,56*0,25 =9/7189

1)36/25:7189/25=36/7189

2)36/7189*1/4=9/7189

Вас заинтересует