• Предмет: Алгебра
  • Автор: SvetoCopy41
  • Вопрос задан 2 года назад

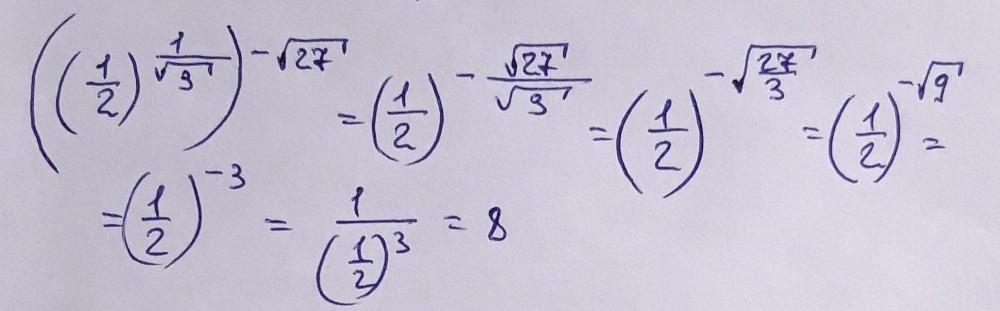
как это решить ??
((1/2)^1/корень из 3)^-корень из 27

Ответы

Ответ дал: m11m
2

Ответ:

Объяснение:

!!!!!!!!!!!!!!!!!!!!!!!

Приложения:
Ответ дал: sharofat0
2

Ответ:

Упростить.

Ответ во вложении.

Приложения:
Вас заинтересует