• Предмет: Математика
  • Автор: idrisoviman3
  • Вопрос задан 2 года назад

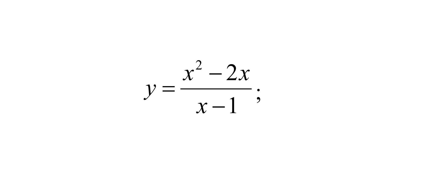
1) найти область определения функции;
2) исследовать функцию на четность, нечетность;
3) построить график функции.
Можете сделать хоть 1 из пунктов (желательно все 3 конечно, но кто может помоги те хотя бы с одним из них)

Приложения:

Ответы

Ответ дал: annarimalis
0
D(y)-область определения =R;{1}
Приложения:
Ответ дал: Аноним
0

Ответ:

1. x-1≠0

x≠1

D(y): x∈(-∞ ;1)∪ (1;+∞)

2. Y(-x)= ((-x)^2-2*(-x))/(-x)-1=(x^2+2x)/(-x-1)

Так как Y(x)≠Y(-x) то функция ни четная ни нечетная

Пошаговое объяснение:

Вас заинтересует