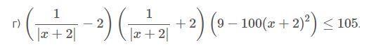
Условие и вопрос на рисунке!!! С подробным решением!!!
Приложения:

Аноним:
разность квадратов
Ответы
Ответ дал:
1
Вас заинтересует
1 год назад
1 год назад
1 год назад
3 года назад
3 года назад
8 лет назад