• Предмет: Геометрия
  • Автор: mishapolupan2089
  • Вопрос задан 2 года назад

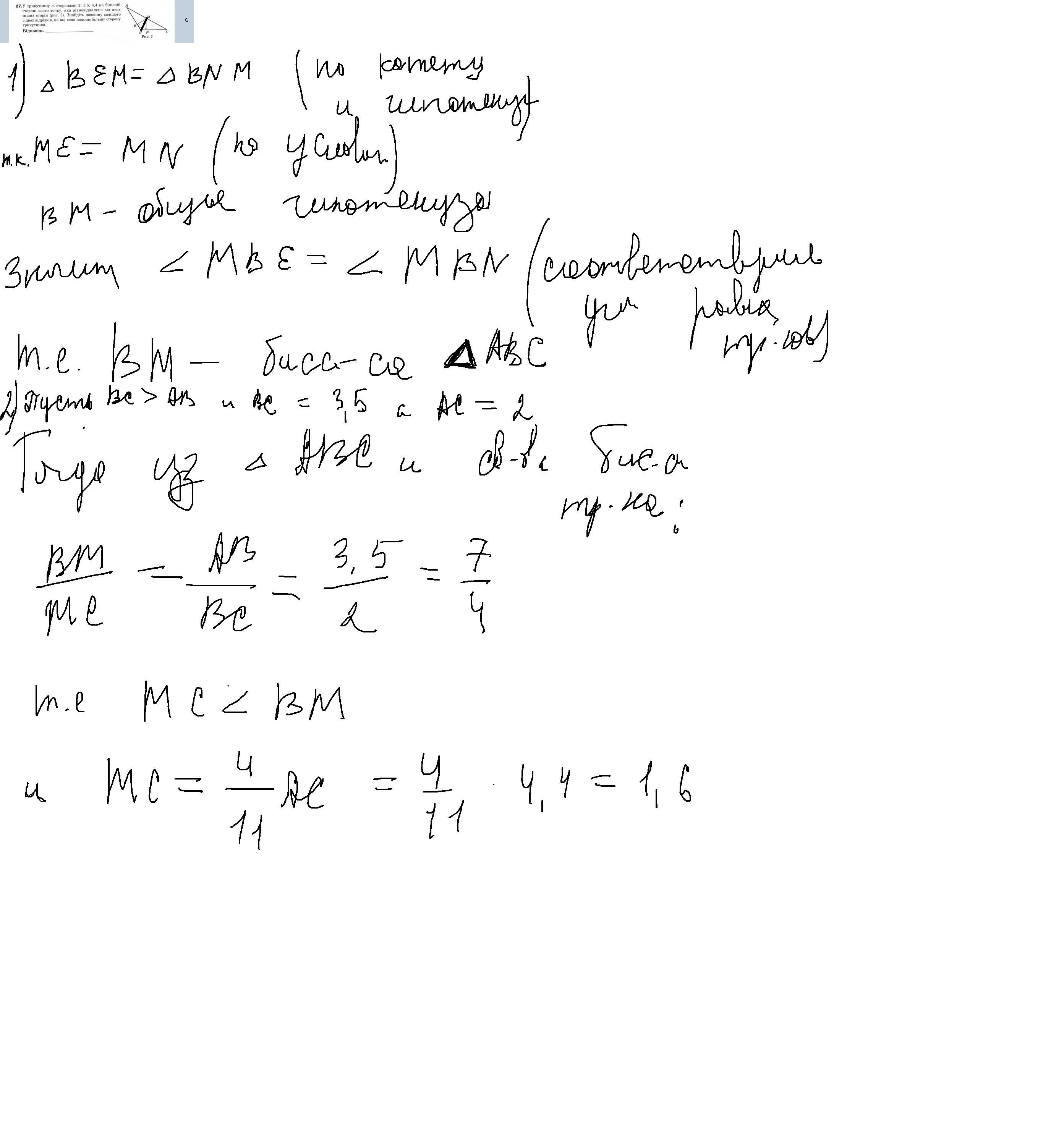
У трикутнику зі сторонами 2, 3,5 і 4,4 на більшій стороні взято точку, яка рівновіддалена від двох інших сторін (рис. 3). Знайдіть довжину меншого з двох відрізків, на які вона поділяе більшу сторону трикутника.

Приложения:

Ответы

Ответ дал: vikll
5

Ответ:

Объяснение:

Знайдіть довжину меншого з двох відрізків, на які вона поділяе більшу сторону трикутника.

Приложения:

vikll: АМ/МС=АВ/ВС= 3,5/2=7/4⇒MC
Вас заинтересует