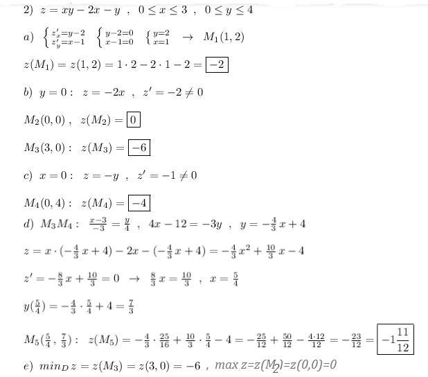
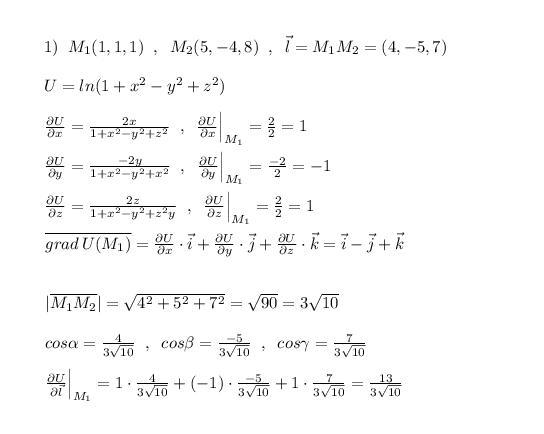
Ответы
Ответ дал:
0
.........................................................................................................................
Приложения:



Вас заинтересует
1 год назад
3 года назад
3 года назад
8 лет назад