Ответы
Ответ дал:
1
Решение во вложении.
Приложения:


yugolovin:
Прошу прощения, когда вводил свое решение, не заметил Ваше. Иначе не стал бы его дублировать. Еще раз тысяча извинений, а заодно и поздравление с Новым годом))
Ответ дал:
2
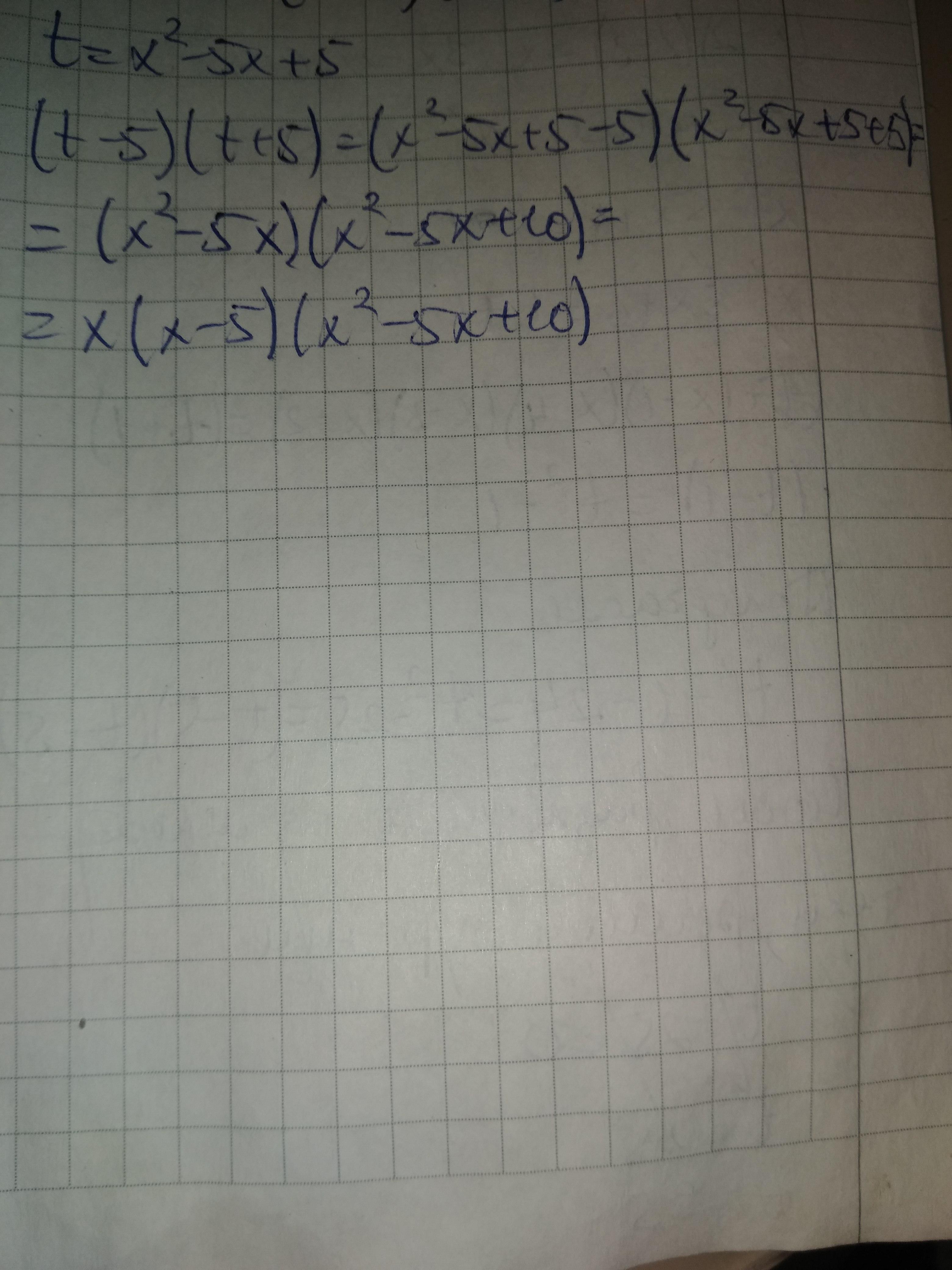
(x-1)(x-2)(x-3)(x-4)-24=((x-1)(x-4))·((x-2)(x-3))-24=(x²-5x+4)(x^2-5x+6)-24.
Обозначим x²-5x+5=t; получается выражение
(t-1)(t+1)-24=t²-1-24=t²-25=t²-5²=(t-5)(t+5)=(x²-5x)(x²-5x+10)=x(x-5)(x²-5x+10).
Поскольку дискриминант квадратного трехчлена в последней скобке отрицателен, полученное произведение окончательное.
Ответ: x(x-5)(x²-5x+10)
Вас заинтересует
1 год назад
1 год назад
1 год назад
3 года назад
3 года назад
8 лет назад