• Предмет: Алгебра
  • Автор: hedggehog
  • Вопрос задан 2 года назад

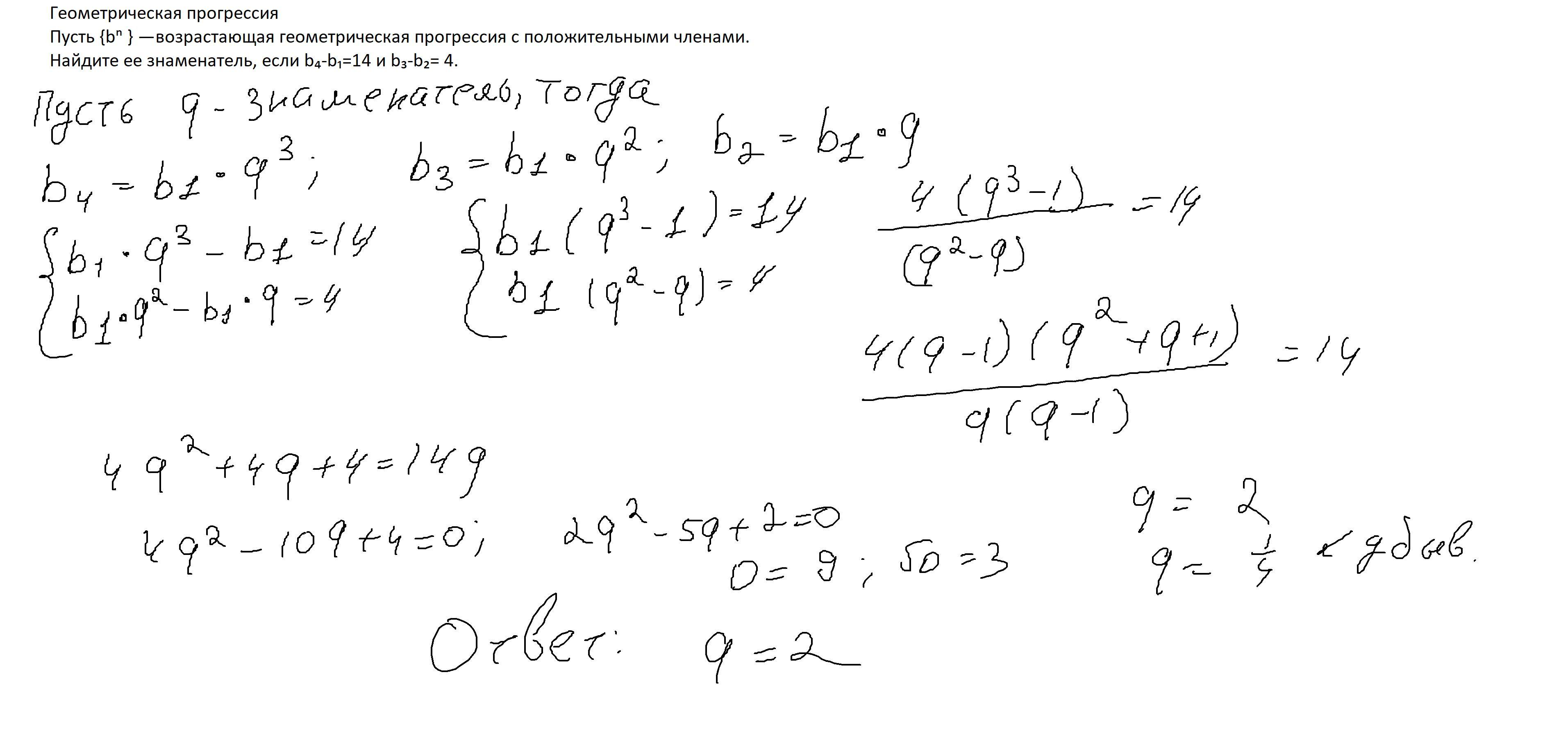
Геометрическая прогрессия
Пусть {bⁿ } —возрастающая геометрическая прогрессия с положительными членами.
Найдите ее знаменатель, если b₄-b₁=14 и b₃-b₂= 4.

Ответы

Ответ дал: Аноним
6

По формуле общего n-го члена геометрической прогрессии

\displaystyle \left \{ {{b_1q^3-b_1=14} \atop {b_1q^2-b_1q=4}} \right.~\Rightarrow~\left \{ {{b_1(q^3-1)=14} \atop {b_1q(q-1)=4}} \right.~\Rightarrow~\left \{ {{b_1(q-1)(q^2+q+1)=14} \atop {b_1(q-1)=\dfrac{4}{q}}} \right.\\ \\ \\ \dfrac{4}{q}(q^2+q+1)=14~~~\bigg|\cdot q\ne 0\\\\ 4q^2+4q+4=14q\\ \\ 4q^2-10q+4=0~~~|:2\\ \\ 2q^2-5q+2=0

Решая как квадратное уравнение мы получим q_1=0{,}5 и q_2=2. Но так как |q_1|<1, то эта геометрическая прогрессия убывающая, подходит только |q_2|>1

Ответ: q = 2.

Ответ дал: studyprogrammer2019
0

Решение на фото.

Стараюсь быть лучшим для вас!

Приложения:
Вас заинтересует