• Предмет: Математика
  • Автор: alinka98646
  • Вопрос задан 2 года назад

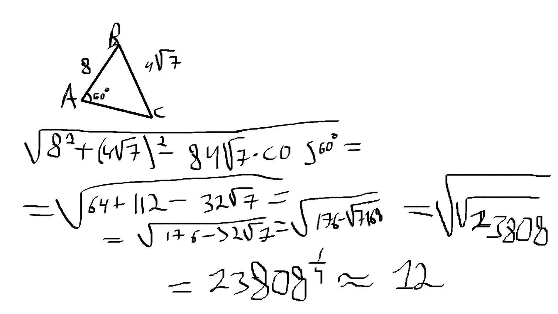
Двi сторони трикутника вiдповiдно дорiвнюють 8 см i4√7cм ,а кут ,що лежить проти большои з них дорiвнюе 60°.Знайдiть довжину третьои сторони .​

Ответы

Ответ дал: kletskov1945
1

Ответ:

Вот.

Пошаговое объяснение:

Приложения:
Вас заинтересует