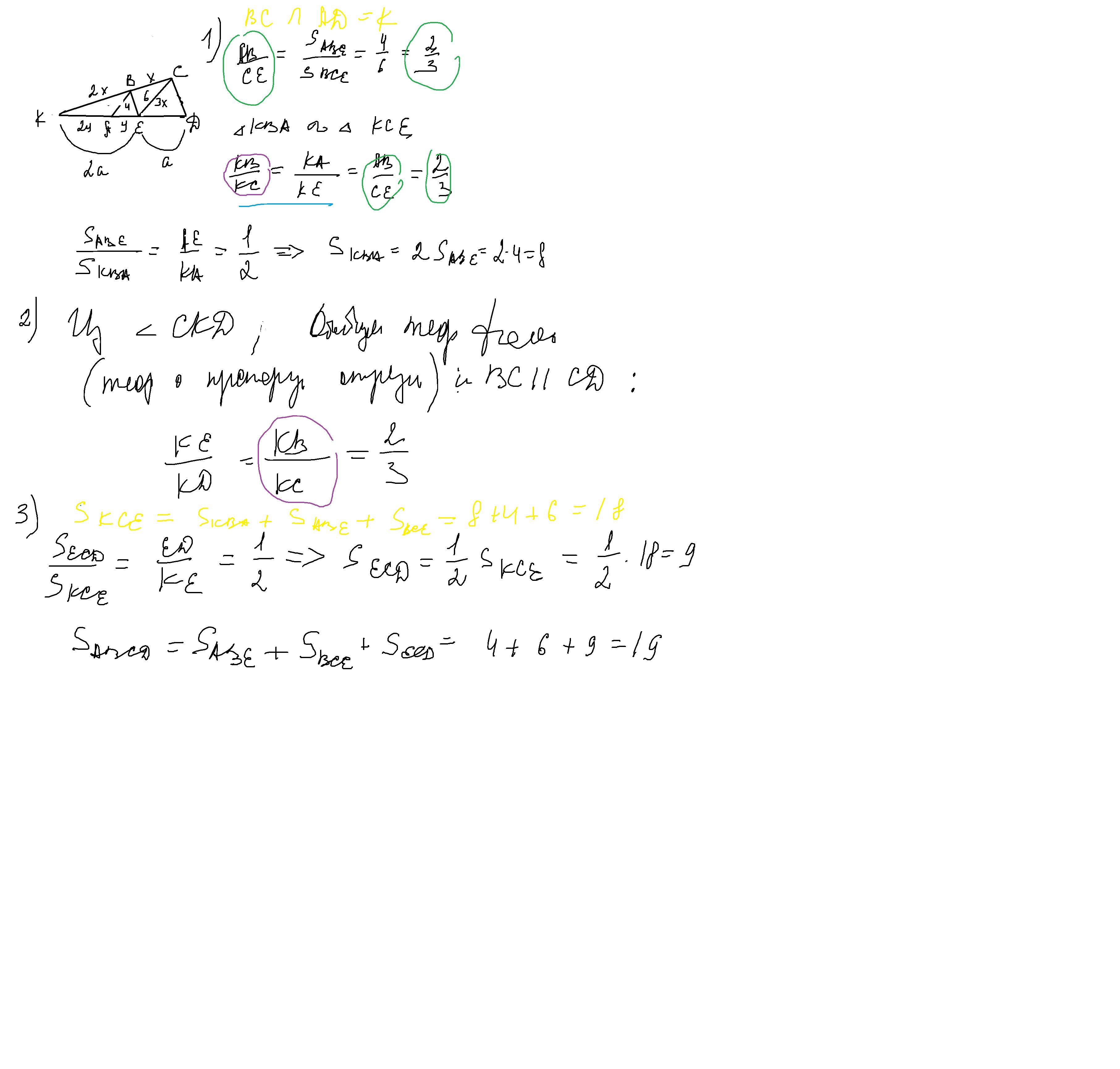
Через вершины b и c четырехугольника abcd провели параллельные сторонам cd и ab прямые, которые пересекаются на стороне ad в точке e. Найдите площадь четырехугольника abcd, если площади треугольников abe и bce равны соответственно 4 и 6.
vikll:
ВА:СЕ=2:3. Пусть CB⋂AD=K⇒KA:KE=2:3⇒KA:AE=2:1⇒S(BAK)=8⇒BK:CB=S(CBK):S(CBE)=2:1⇒KE:ED=2:1⇒S(KCE):S(DCE)=2:1⇒S(DCE)=9⇒S(ABCD)=19
Ответы
Ответ дал:
4
Ответ:
Объяснение:
Через вершины b и c четырехугольника abcd провели параллельные сторонам cd и ab
Приложения:

Вас заинтересует
1 год назад
1 год назад
1 год назад
3 года назад
3 года назад
8 лет назад