• Предмет: Алгебра
  • Автор: svetlana19980709
  • Вопрос задан 2 года назад

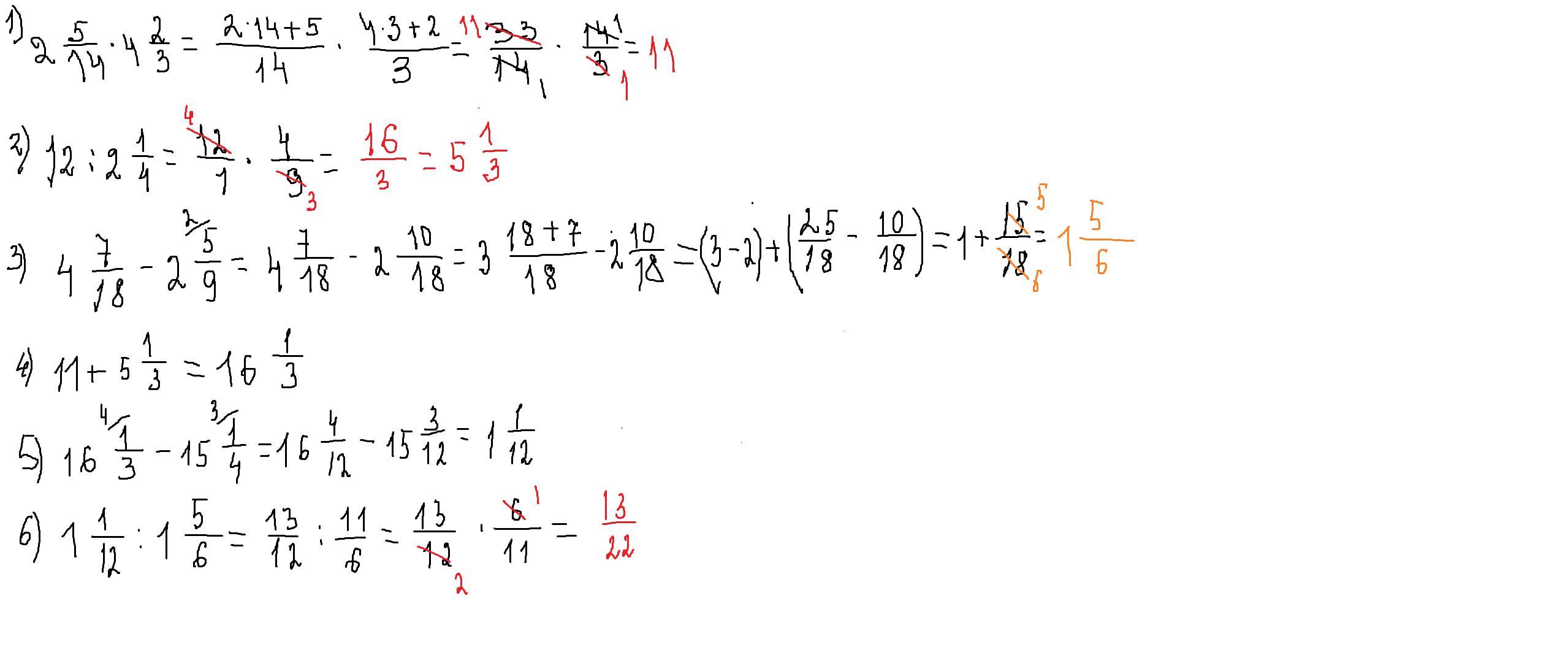
Помогите решить вот этот пример.83
номер. 2 пример. Напишите пожалуйста на листочке как вы решали? Над скобками номера действий? И если в 5 у вас получится 25/18 то подробно распишите как у вас это получилось? Меня учили там где вычитание , найти общий знаменатель и домножить. И целые числа с целыми. Дробные с дробными. Я вам буду очень благодарна

Приложения:

Ответы

Ответ дал: parus77
1

Ответ:

Объяснение:

решение смотри внизу

Приложения:

svetlana19980709: Объясните. А почему 18+7? Там же вычитание. А не сложение. По идее как должно быть 18/18-7/18
parus77: мы не можем отнять10 от 7.поэтому у 4 целых мы занимаем 1(т.е 18\18 и прибавляем к числителю ту самую 7,которая уже была у дроби 4 7\18). (получаем 4 7\18=3 18\18+7\18=3 25\18)
svetlana19980709: Спасибо
Вас заинтересует