Доведіть тотожність:
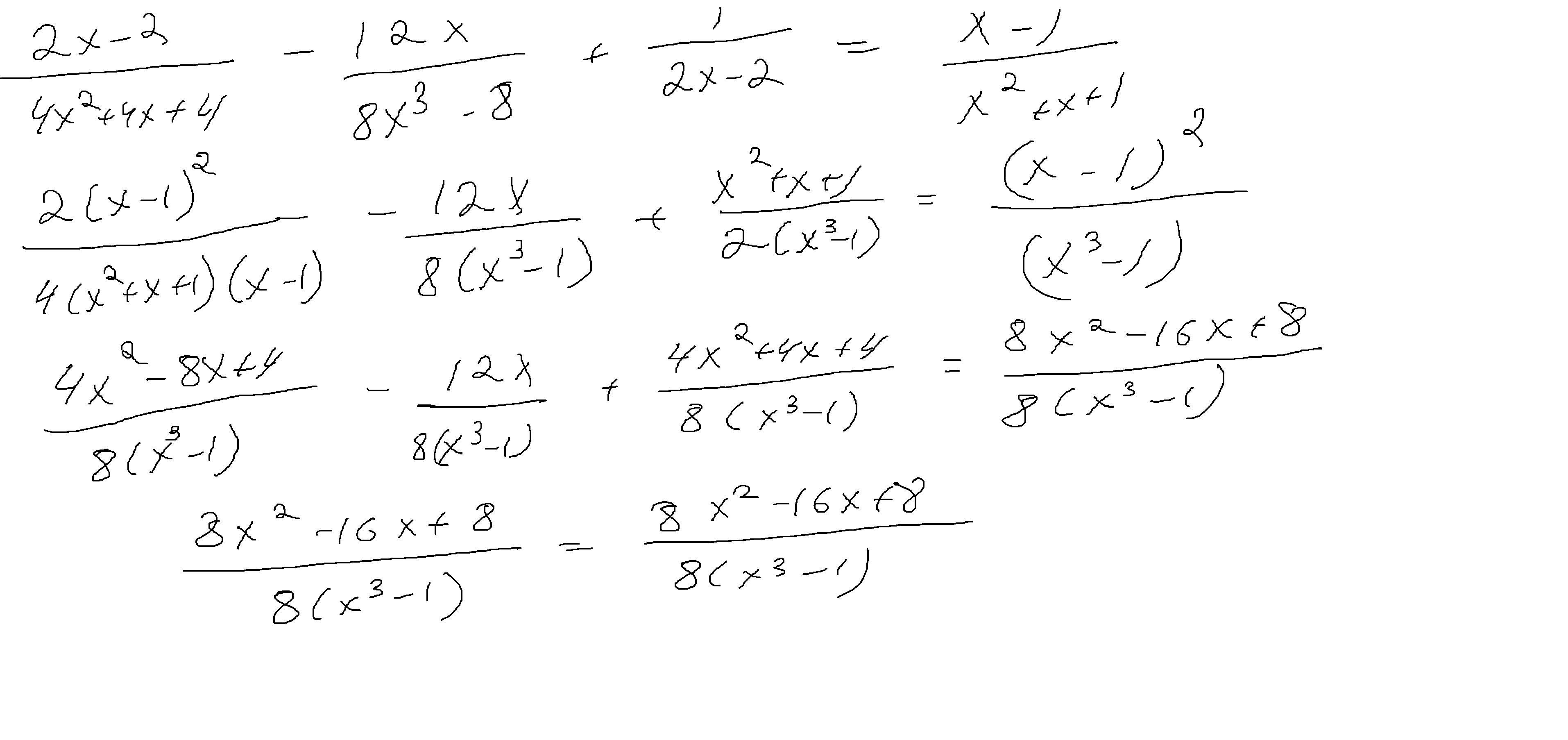
2х-2/4х^2+4х+4 - 12х/8х^3-8 + 1/2х-2 = х-1/х^2+х+1.
Пожалуста помогіте, срочно надо!
Ответы
Ответ дал:
2
Решение на фото.
Стараюсь быть лучшим для вас!
Приложения:

Вас заинтересует
1 год назад
1 год назад
1 год назад
1 год назад
3 года назад
3 года назад
8 лет назад