• Предмет: Алгебра
  • Автор: makusenko699
  • Вопрос задан 2 года назад

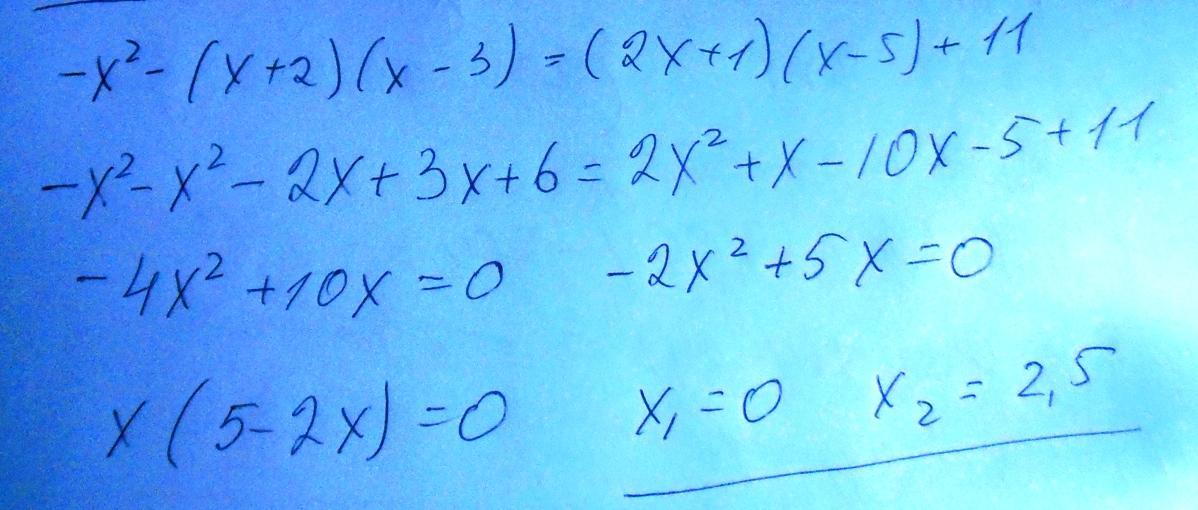
Розв'яжіть рівняння: -x² - (x + 2) (x-3) = (2x + 1) (x - 5) + 11. ДОПОМОЖІТЬ, БУДЬ ЛАСКА!

Ответы

Ответ дал: sharofat0
2

Ответ:

Квадратные уравнения.

Приложения:
Ответ дал: miron2077
1

!!!!!!!!!!!!!!!!!!!!!!!!!!!!!!!!!!!!!!1

Приложения:
Вас заинтересует