• Предмет: Алгебра
  • Автор: chupachups23
  • Вопрос задан 2 года назад

Тригонометрическое уравнение, помогите

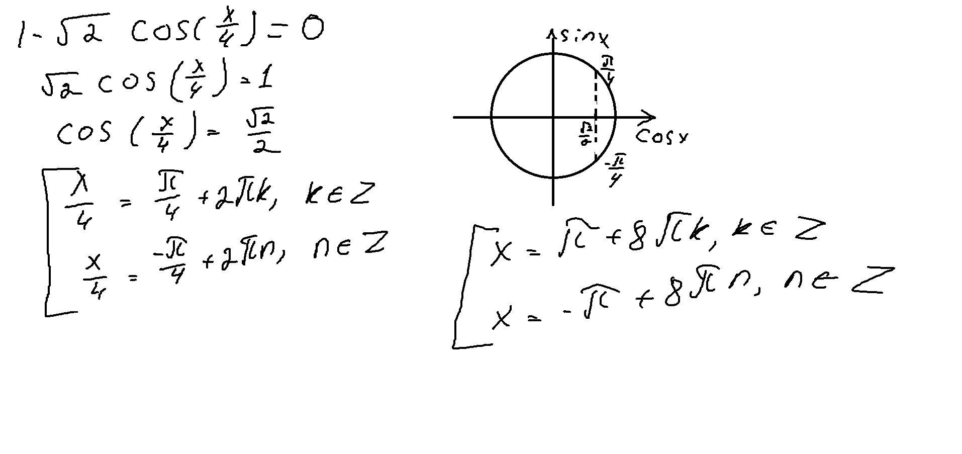
1-\sqrt{2} cos(\frac{x}{4} )=0

Ответы

Ответ дал: studyprogrammer2019
1

Решение на фото.

Стараюсь быть лучшим для вас!

Приложения:
Вас заинтересует