• Предмет: Математика
  • Автор: masha080620
  • Вопрос задан 2 года назад

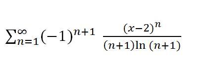
Найти область сходимости ряда

Ответ 1

Приложения:

masha080620: ой Ответ <1x<3 НУЖНО РЕШЕНИЕ

Ответы

Ответ дал: hello93
1

решение в приложении.

Приложения:
Вас заинтересует