• Предмет: Математика
  • Автор: IvPetrenko
  • Вопрос задан 2 года назад

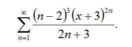
Найти область сходимости функционального ряда

Приложения:

Ответы

Ответ дал: igorShap
0

Функциональный ряд имеет вид \sum a_k(x-c)^k. Приведем наш ряд к такому виду.

Ряд содержит лишь четные степени (x+3), а значит a_k при нечетных k можно взять равными 0. Т.е. a_k=\left \{ {{0,\:k=2n+1} \atop {\dfrac{(n-2)^3}{2n+3},\:k=2n}} \right.

Последовательность a_k не имеет предела при n\to\infty, а значит необходимо использовать формулу Коши-Адамара.

Заметим, что последовательность a_k можно разбить на две подпоследовательности с конечными пределами, выделив нулевую подпоследовательность.

Тогда \overline{lim}_{k\to \infty} \sqrt[k]{a_k}=\left [ MAX:\left \{ {{lim_{n\to \infty}\sqrt[2n+1]{0}=0} \atop {lim_{n\to \infty}\sqrt[2n]{\dfrac{(n-2)^3}{2n+3}}=1}} \right. \right ]=1=>R=\dfrac{1}{\overline{lim}_{k\to \infty} \sqrt[k]{a_k}}=1

Значит при |x+3|<1 ряд сходится.

Исследуем сходимость на концах.

Если |x+3|=\pm 1, получаем ряд \sum \dfrac{(n-2)^3}{2n+3}}(\pm1)^{2n}=\sum \dfrac{(n-2)^3}{2n+3}}\\ lim_{n\to \infty}\dfrac{(n-2)^3}{2n+3}}=lim_{n\to \infty}\dfrac{n^3}{2n}}=+\infty - необходимое условие сходимости не выполнено, значит ряд расходится.

Ответ:x\in(-4;\:-2)

Вас заинтересует