• Предмет: Математика
  • Автор: margolittih
  • Вопрос задан 2 года назад

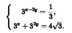
Помогите, пожалуйста, решить систему уравнений (на фото)

Приложения:

Ответы

Ответ дал: MrSolution
2

Ответ:

\left(\dfrac{1}{2};\; \dfrac{3}{4}\right)

Пошаговое объяснение:

 {3}^{x - 2y}  =  {3}^{ - 1}  \\ x - 2y =  - 1 \\ x = 2y - 1 \\  \\  {3}^{x}  +  {3}^{2y}  = 4 \sqrt{3}    \\  {3}^{2y - 1}  +  {3}^{2y}  = 4 \sqrt{3}  \\  {3}^{2y - 1} (1 + 3) = 4 \sqrt{3}  \\  {3}^{2y - 1}  =  {3}^{ \frac{1}{2} }  \\ 2y - 1 =  \frac{1}{2}  \\ 2y =  \frac{3}{2}  \\ y =  \frac{3}{4}  \\  \\ x = 2 \times  \frac{3}{4}  - 1 \\ x =  \frac{1}{2}


MrSolution: Добавь в лучший ответ Поддержи меня :)
Ответ дал: ldglkva
1

Ответ.

Решение во вложении.

Приложения:
Вас заинтересует