• Предмет: Математика
  • Автор: Аноним
  • Вопрос задан 2 года назад

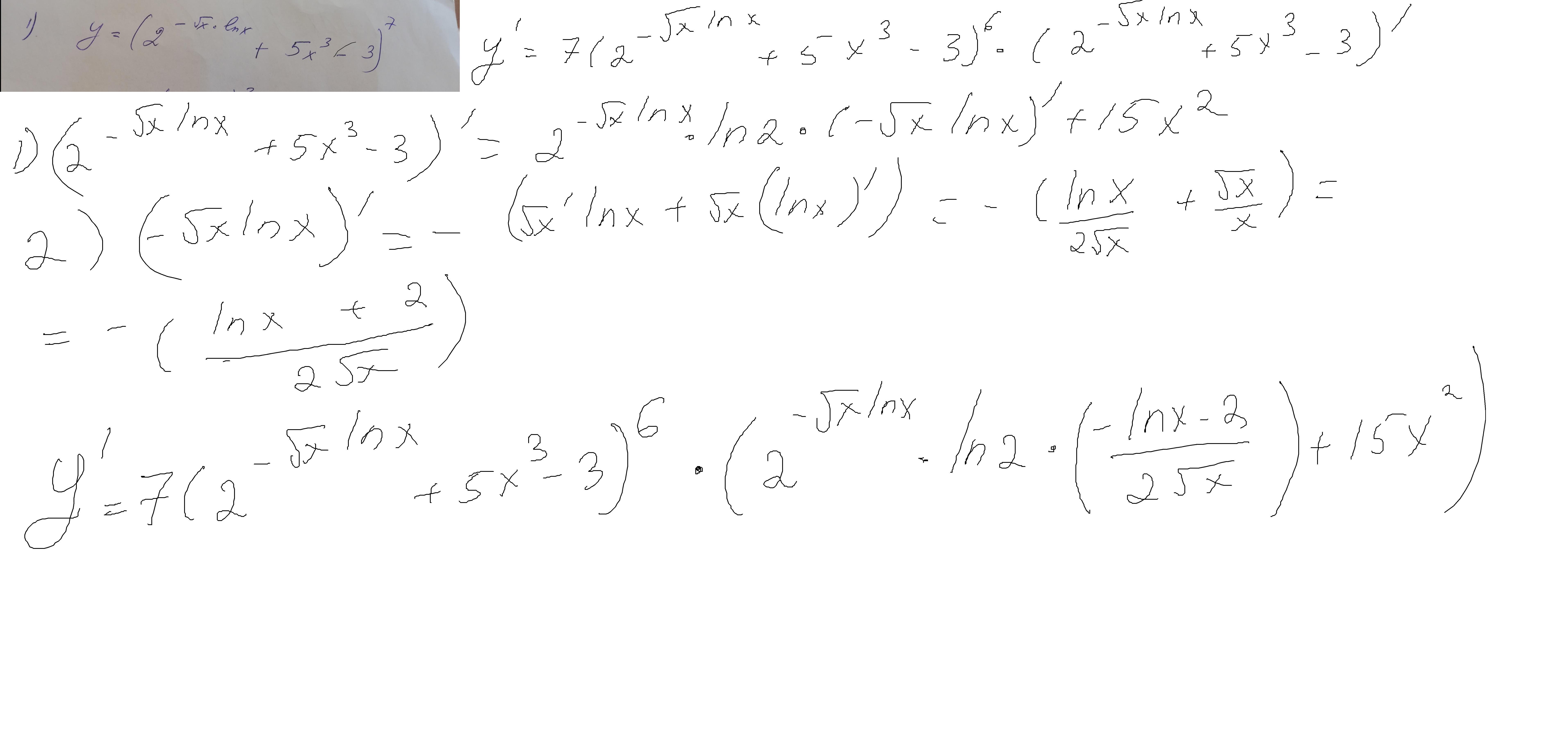
Помогите решить производную

Приложения:

Ответы

Ответ дал: studyprogrammer2019
0

Решение на фото.

Стараюсь быть лучшим для вас!

Приложения:
Вас заинтересует