• Предмет: Алгебра
  • Автор: znayunoneponimayu
  • Вопрос задан 2 года назад

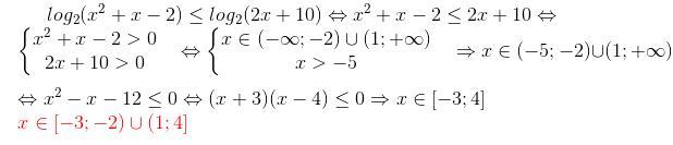
\log _(2)(x^(2)+x-2)<=\log _(2)(2x+10)


natalyabryukhova: \ - это что?

Ответы

Ответ дал: igundane
0

/////////////////////////////////////////

Приложения:
Вас заинтересует