• Предмет: Математика
  • Автор: aptem22870
  • Вопрос задан 2 года назад

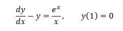
Найти частное решение дифференциального уравнения

Приложения:

Ответы

Ответ дал: Miroslava227
1

Ответ:

решение на фотографии

Приложения:
Вас заинтересует