• Предмет: Алгебра
  • Автор: unmolokochan
  • Вопрос задан 2 года назад

Решите пожалуйста.
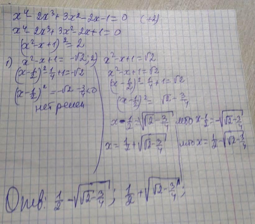
x^4−2x^3+3x^2−2x−1=0


MrSolution: Ошибок в условии нет? Просто корни 1.3149929830207712 и -0.3149929830207713. Для 9ого класса по теореме Безу все должно быть хорошо.

Ответы

Ответ дал: Аноним
0

x^4-2x^3+3x^2-2x-1=0\\ \\ x^4-2x^3+x^2+2x^2-2x-1=0\\ \\ (x^2-x)^2+2(x^2-x)-1=0

Пусть x^2-x=t, тогда получаем:

t^2+2t-1=0\\ \\ (t+1)^2-2=0\\ \\ t+1=\pm\sqrt{2}\\ \\ t=-1\pm\sqrt{2}

Выполним обратную замену:

x^2-x=-1-\sqrt{2}\\ x^2-x+1+\sqrt{2}=0\\ \\ D=(-1)^2-4\cdot (1+\sqrt{2})=1-4-4\sqrt{2}=-3-4\sqrt{2}<0

Это квадратное уравнение решений не имеет, поскольку D < 0

x^2-x=-1+\sqrt{2}\\ x^2-x+1-\sqrt{2}=0\\ \\ D=(-1)^2-4\cdot (1-\sqrt{2})=1-4+4\sqrt{2}=4\sqrt{2}-3\\ \\ \boxed{x_{1,2}=\dfrac{1\pm\sqrt{4\sqrt{2}-3}}{2}}

Ответ дал: terikovramazan
0

Ответ: приложено

Объяснение:

Приложения:
Вас заинтересует