• Предмет: Математика
  • Автор: alsanyahow
  • Вопрос задан 2 года назад

Как пплучится 0.5 4÷8

Ответы

Ответ дал: Аноним
0

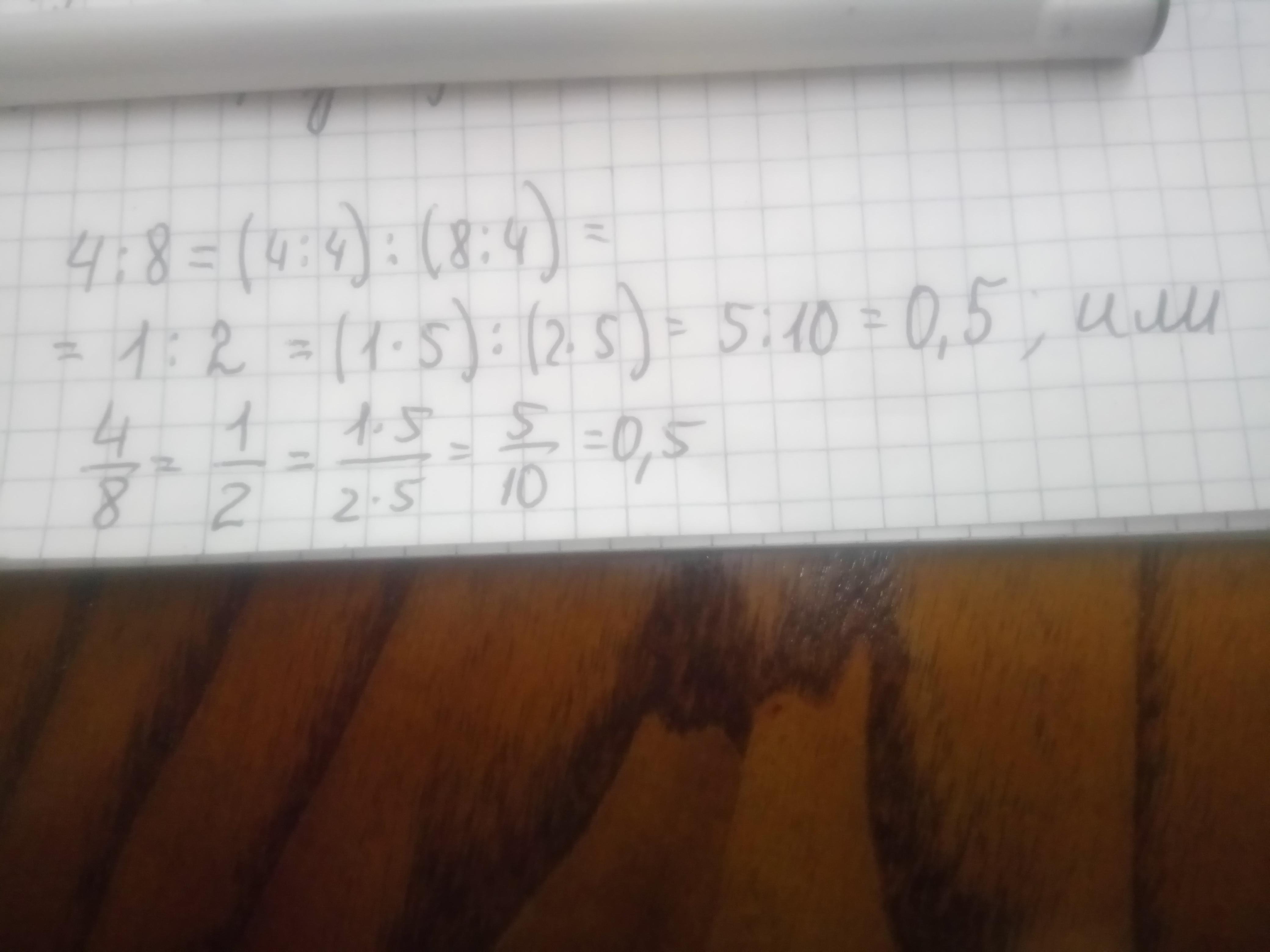
Решение задания приложено

Приложения:
Вас заинтересует