• Предмет: Алгебра
  • Автор: timurkuz70
  • Вопрос задан 2 года назад

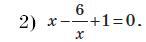
Решите графически уравнение :
оно во вложении.
15 бАЛЛОВ

Приложения:

Simba2017: вообще то это не функция, а уравнение и его решают
timurkuz70: как
timurkuz70: Решить хоть маожна?
timurkuz70: У меня вышло х=2
Simba2017: вам что, все равно?
Simba2017: подходит
timurkuz70: № 3 . Розв’яжіть графічно рівняння:
timurkuz70: так написано \
timurkuz70: (скопировал
Simba2017: понимать надо вопрос, который задаете

Ответы

Ответ дал: Danniemmz01
0

Ответ:

смотри ниже

Объяснение:

Приложения:
Ответ дал: Аноним
0

Ответ в файле

………………………..

x-\frac{6}{x}+1=0\\\\x+1=\frac{6}{x}

Ответ: x=-3, x=-2

Приложения:
Вас заинтересует