Ответы
Ответ дал:
1
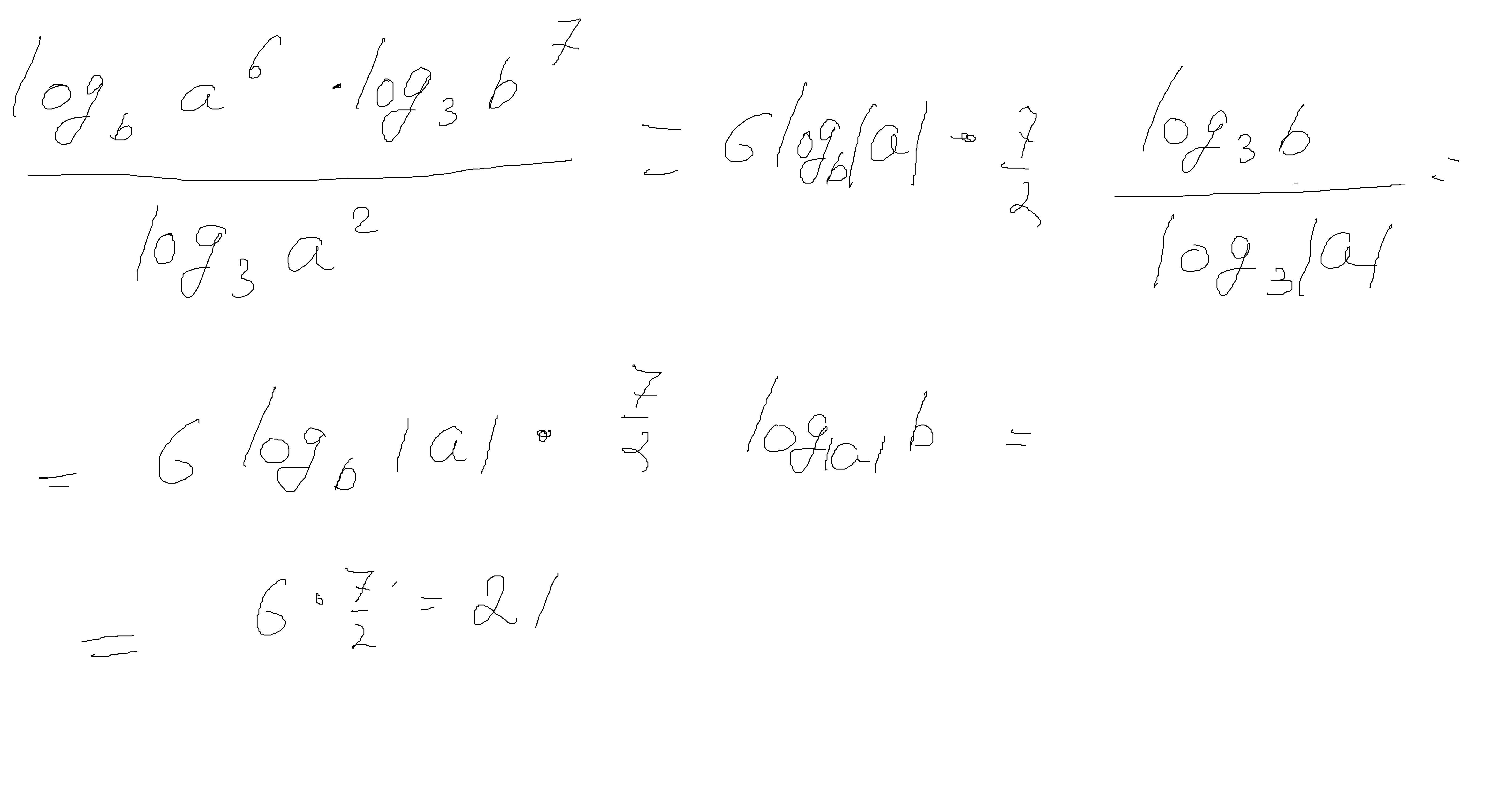
Решение на фото.
Стараюсь быть лучшим для вас!
Приложения:

molly73:
спасибо большое
Вас заинтересует
1 год назад
1 год назад
1 год назад
3 года назад
8 лет назад