Ответы
Ответ дал:
0
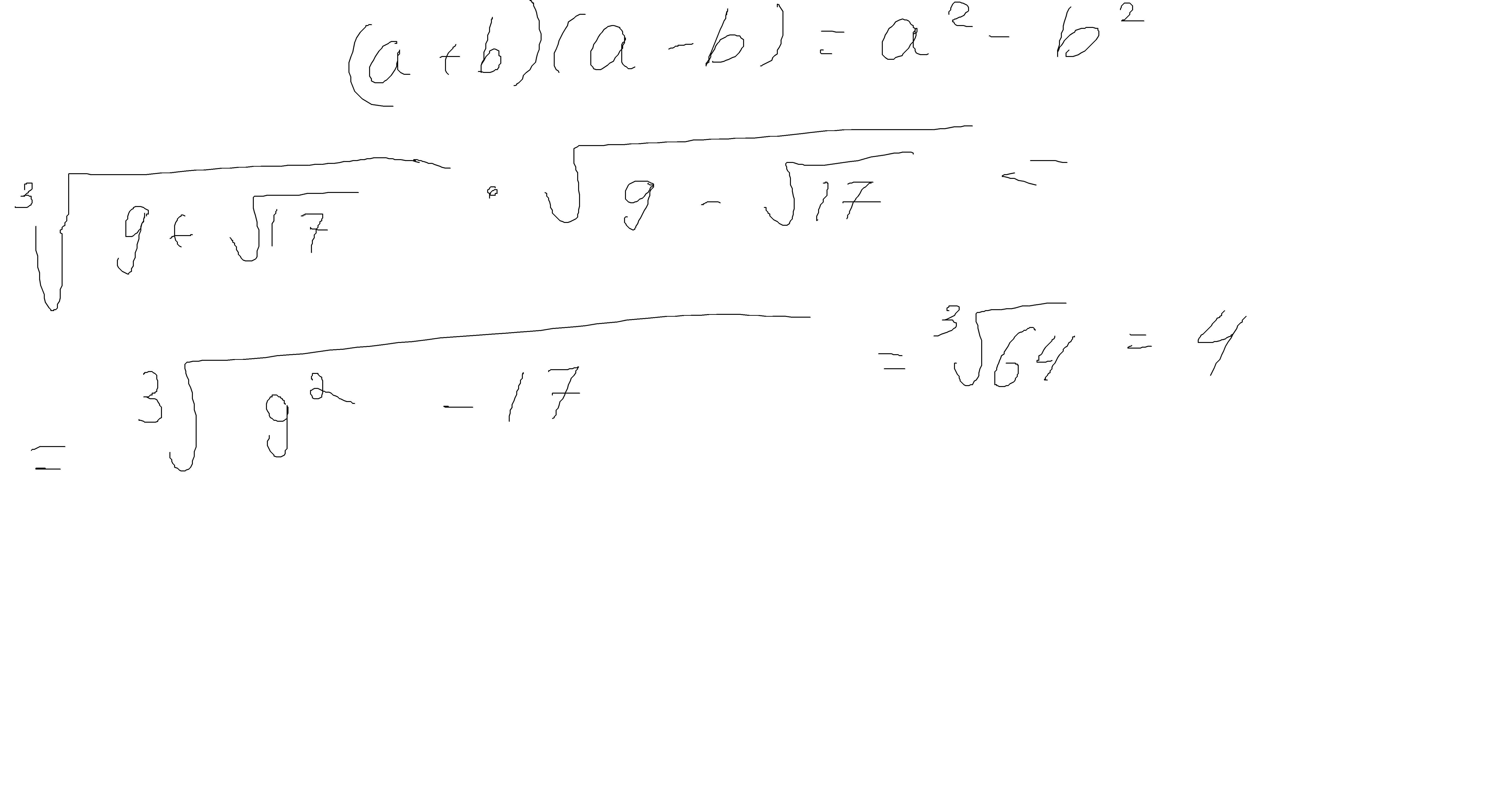
Опыт мне подсказывает, что вы забыли дописать степень корня у первого множителя.
Использую формулу сокращенного умножения (разность квадратов).
Решение на фото.
Стараюсь быть лучшим для вас!
Приложения:

Вас заинтересует
1 год назад
1 год назад
1 год назад
3 года назад
3 года назад
8 лет назад
8 лет назад