• Предмет: Математика
  • Автор: sabrinamursalova10
  • Вопрос задан 2 года назад

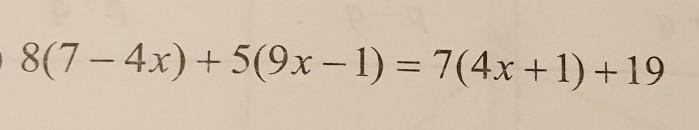
можете решить это уравнение?​

Приложения:

Ответы

Ответ дал: тича
1

Ответ:

Первым действием упрощаем

56-32x+45x-5=28x+7+19;

Переносим известные в одну часть, неизвестные в другую:

-32x+45x-28x=7+19-56+5;

-15x=-25

x=25/15=5/3

x= 1 2/3

Ответ: 1 2/3


sabrinamursalova10: спасибо!
тича: если не сложно, то отметь ответ как лучший
sabrinamursalova10: конечно!
Вас заинтересует