• Предмет: Алгебра
  • Автор: wada123wadahah
  • Вопрос задан 2 года назад

СРОЧНО!!!!!
Алгебра, 7 класс, даю 70 баллов!
Очень нужно!

Приложения:

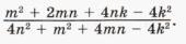
Medved23: Нужно упростить?
wada123wadahah: Да
wada123wadahah: Ответ должен получиться m+2k/2n+m+2k

Ответы

Ответ дал: Medved23
3

Ответ:

========

Объяснение:

Приложения:

wada123wadahah: Спасибо большое!
Вас заинтересует