Ответы
Ответ дал:
1
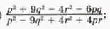
фсу-формулы сокращённого умножения
Приложения:

Ответ дал:
0
Ответ:
Объяснение:
Вас заинтересует
1 год назад
1 год назад
1 год назад
1 год назад
3 года назад
8 лет назад