• Предмет: Математика
  • Автор: sfbsr
  • Вопрос задан 2 года назад

lf. dct ,fks 111111111111

Приложения:

Ответы

Ответ дал: YBAAT
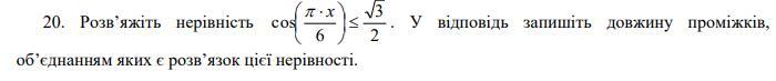
2

Ответ:

x<=+-1/3n

Пошаговое объяснение:

cos(\pi *x/6)\leq \sqrt{3}/2\\\pi *x/6\leq +-\pi /6+2\pi n\\x\leq +-1/3n

Вас заинтересует