Ответы
Ответ дал:
1
//////////////////////////////////////////////
Приложения:

Ответ дал:
0
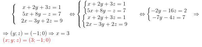
{x+2y+3z=1
{5x+8y-z=7
{2x-3y+2z=9
{x=1-2y-3z
{5-10y-15z+8y-z=7
{2-4y-6z-3y+2z=9
{x=1-2y-3z
{-2y-16z=2 (сокращаем на 2)
{-7y-4z=7
{x=1+2+16z-3z
{y=-1-8z
{7+56z-4z=7
{x=3+13z
{y=-1-8z
{52z=0
{x=3
{y=-1
{z=0
Вас заинтересует
1 год назад
1 год назад
1 год назад
3 года назад
3 года назад