• Предмет: Геометрия
  • Автор: eifufjfdhdhdjjjej
  • Вопрос задан 2 года назад

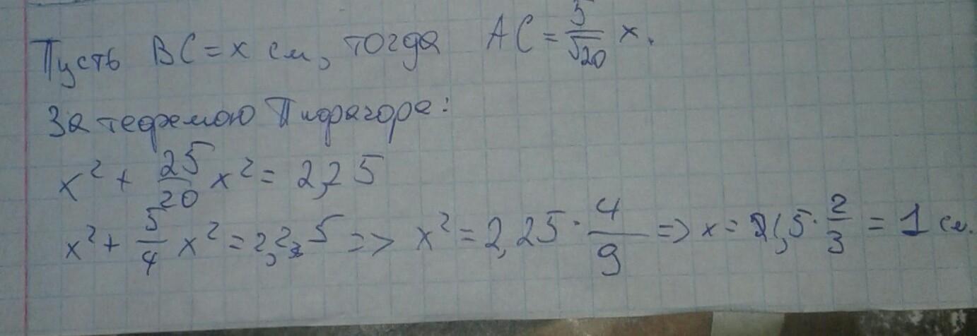
18 БАЛЛОВ!!! см.фото, решить по т.Пифагора​

Приложения:

Ответы

Ответ дал: olishchyksergiy
1

Ответ:

1

Объяснение:

Объяснение на фото. Надеюсь всё понятно

Приложения:
Вас заинтересует