Ответы
Ответ дал:
0
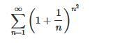
Предельный признак Коши говорит,что ряд расходится
Если получаем число больше 1 - Расходится
Если получаем число меньше 1 - Сходится
Если получаем число равное 1 - Используем другие методы
Приложения:

Вас заинтересует
1 год назад
1 год назад
3 года назад
3 года назад
8 лет назад