Сколько граммов оксида алюминия образуется при реакции алюминия с 6 моль кислорода? Дано и ответ)
Ответы
Ответ дал:
1
Ответ:
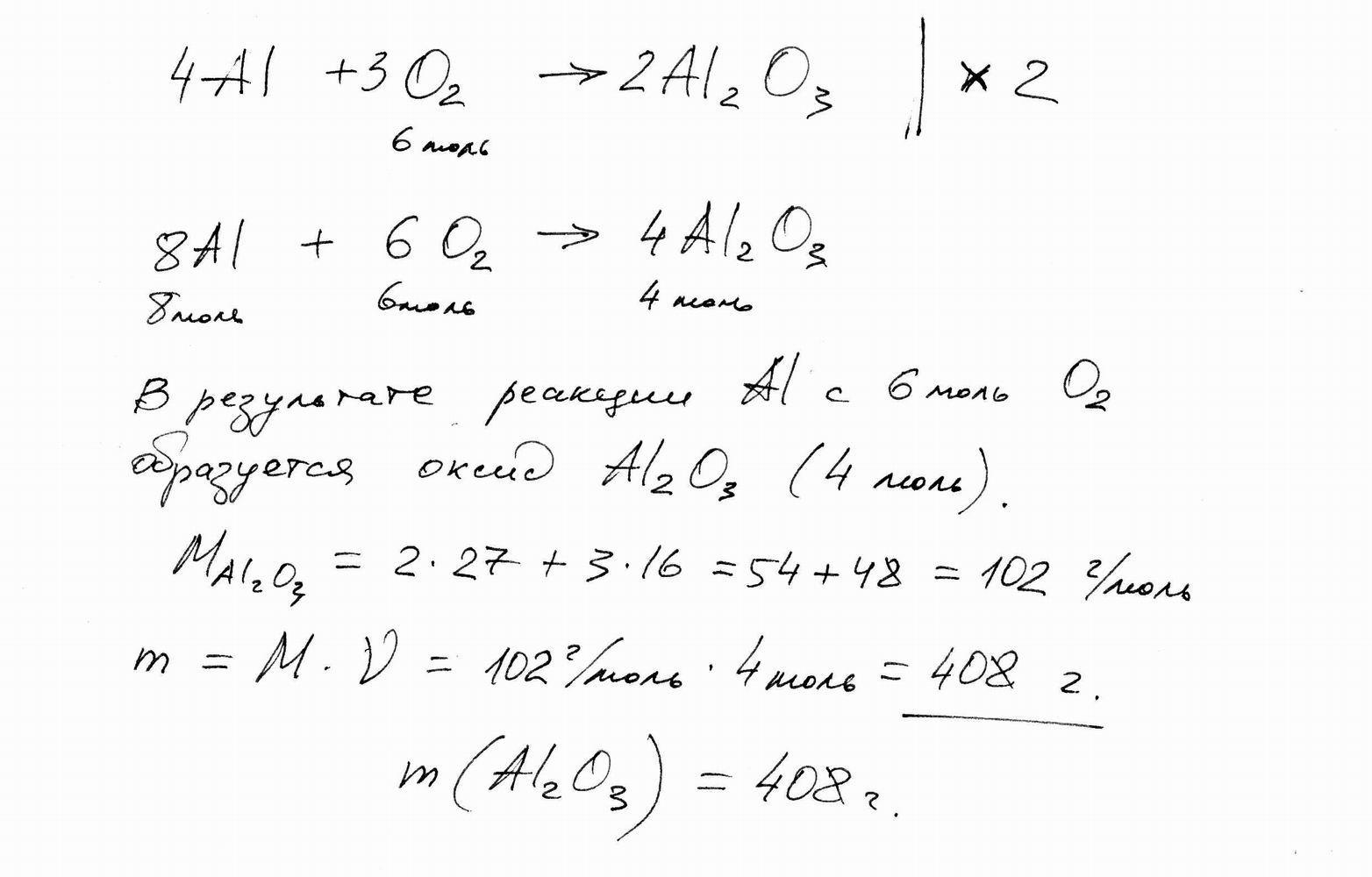
m (Al₂O₃) = 408 г
Объяснение:
Приложения:

Ответ дал:
0
Ответ:
4Al+3O2=2Al2O3
n (Al2O3)=(6×2)/3=4моль
m=M×n
m=102×4=408gm
Объяснение:
Приложения:

Вас заинтересует
1 год назад
1 год назад
1 год назад
3 года назад
8 лет назад