• Предмет: Алгебра
  • Автор: kskate452633
  • Вопрос задан 2 года назад

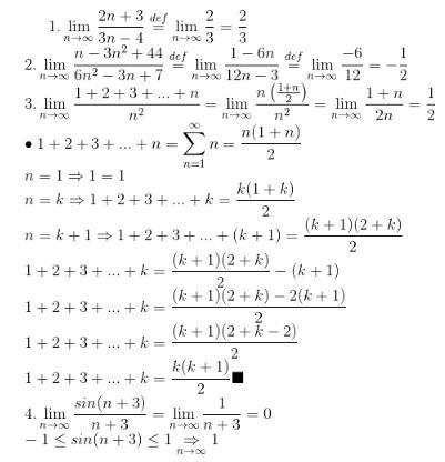
15 балів 3 номер обчисліть границю ​

Приложения:

Ответы

Ответ дал: terikovramazan
1

Ответ:приложено

Объяснение:

Приложения:
Ответ дал: igundane
1

//////////////////////////////////////

Приложения:
Вас заинтересует