Решите с объяснением подробным
решите уравнение 
найдите все корни уравнения принадлежащие промежутку
Simba2017:
фото задания из учебника
вот именно!
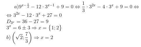
3^x=a
дальше как обычно...
квадратное уравнение
a^2/3-12a/3+9=0; a^2-12a+27=0; D=36....
Ответы
Ответ дал:
0
/////////////////////////////////////
Приложения:
Вас заинтересует
1 год назад
1 год назад
2 года назад
3 года назад
3 года назад