• Предмет: Алгебра
  • Автор: hassenovaayazhan1308
  • Вопрос задан 2 года назад

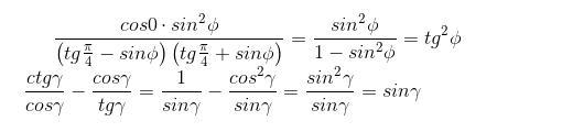
ПОМОГИТЕ РЕШИТЬ ПОЖАЛУЙСТА​

Приложения:

Ответы

Ответ дал: igundane
0

//////////////////////////////////////

Приложения:
Вас заинтересует