• Предмет: Математика
  • Автор: Reddy12
  • Вопрос задан 2 года назад

Помогите пожалуйста решить карточку

Приложения:

Ответы

Ответ дал: studyprogrammer2019
2

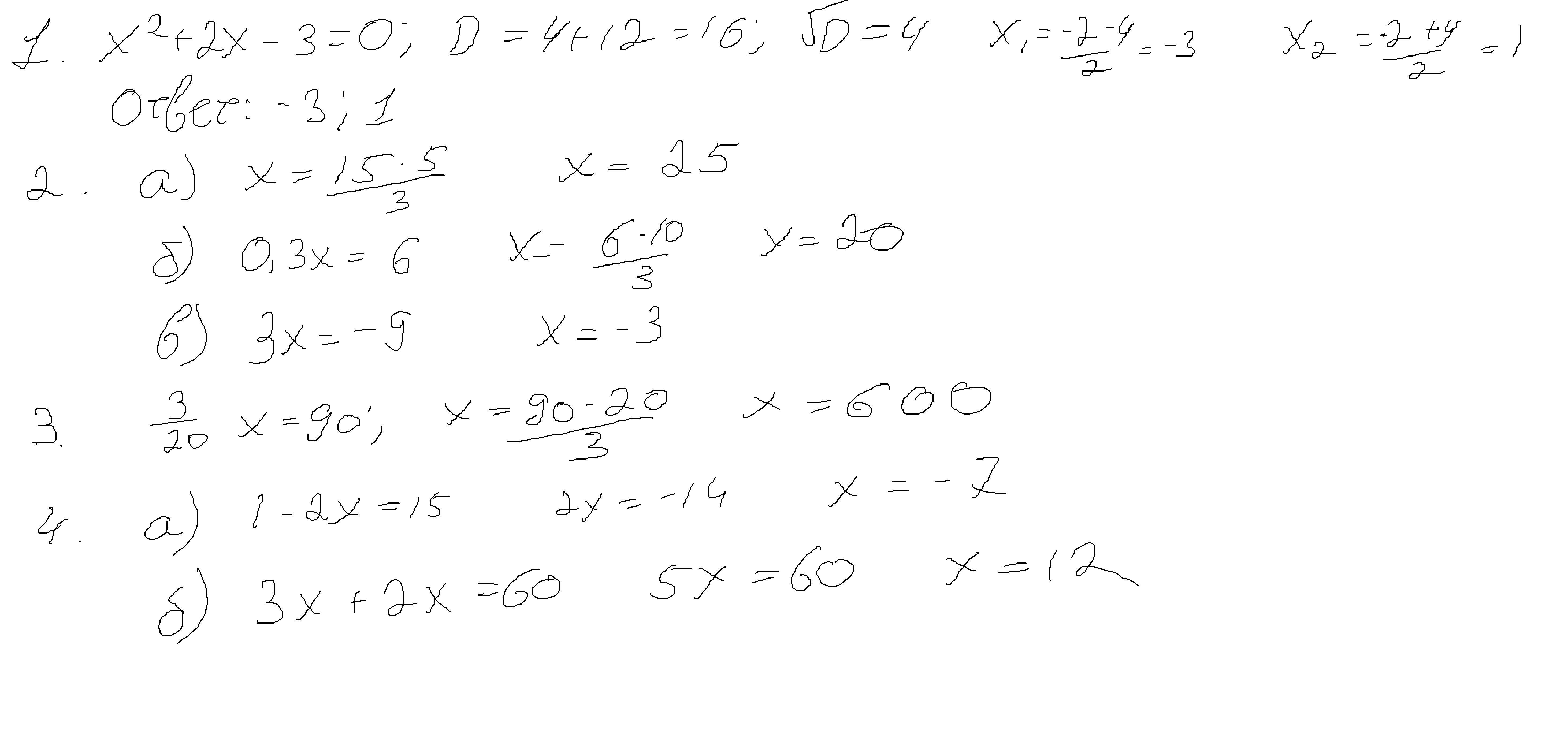
Решение на фото.

Стараюсь быть лучшим для вас!

Приложения:
Вас заинтересует