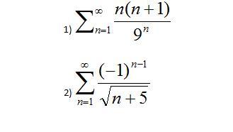
ПРОВЕРИТЬ НА УСЛОВНУЮ И АБСОЛЮТНУЮ СХОДИМОСТЬ
ПОМОГИТЕ ПОЖАЛУЙСТА
Приложения:

Аноним:
2 ??
Ответы
Ответ дал:
0
Оба ряда расходятся. Поэтому нет абсолютной сходимости исходного ряда. Исходный ряд сходится условно .
Вас заинтересует
1 год назад
1 год назад
3 года назад
3 года назад
8 лет назад
8 лет назад