• Предмет: Математика
  • Автор: Leana001
  • Вопрос задан 2 года назад

Как решить и росписать пример? Подскажите пжжжжжжжж
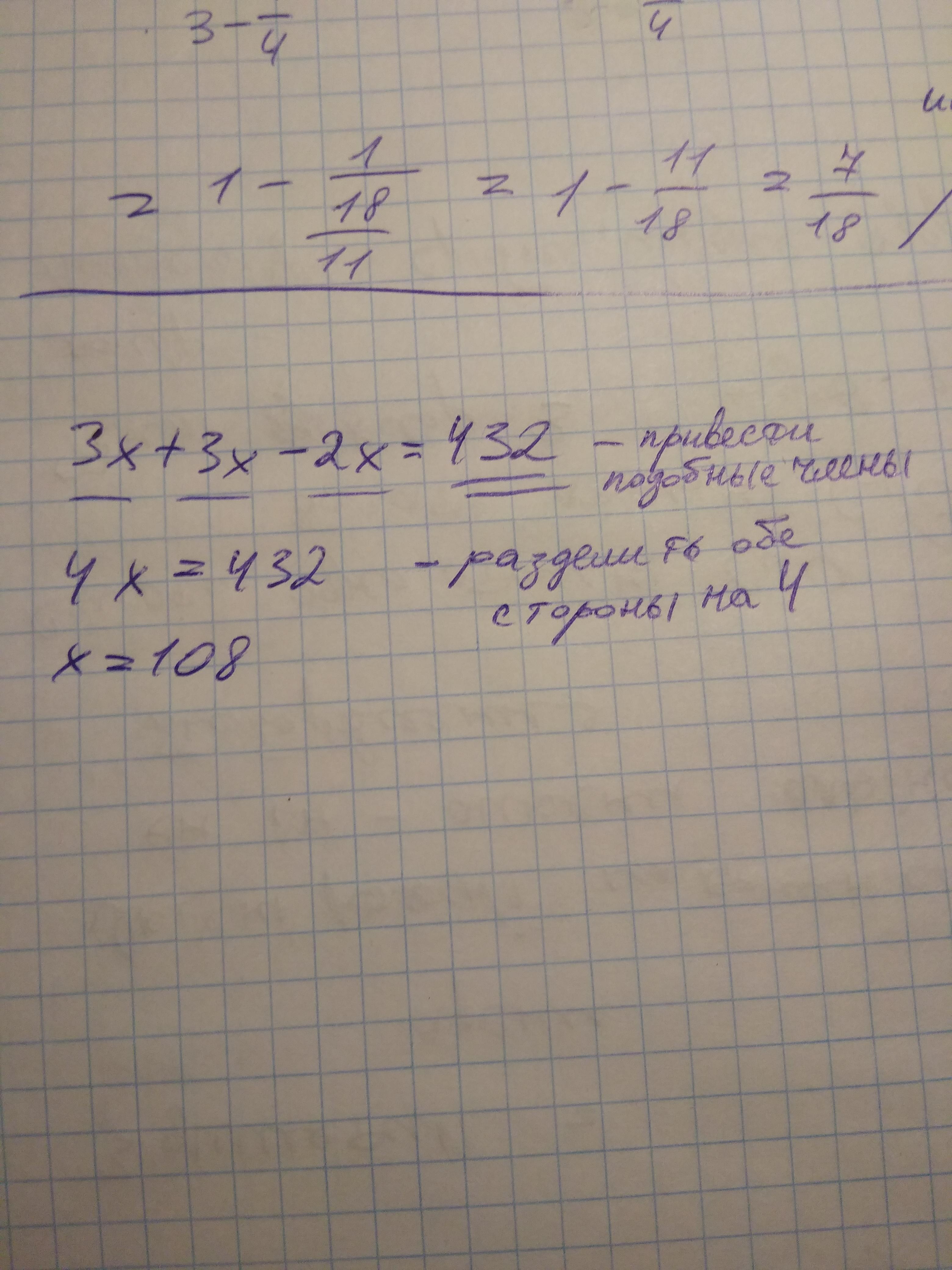
3x+3x-2x=432
Пжжджжжжжжжжжжжжжж

Ответы

Ответ дал: meinvizible
1

3х+3х-2х=432

6х-2х=432

4х=432

х=432/4

х=108

удачи)))

отметь как лучшее пжл


Leana001: Спасибо тебе большое!!!! Не вовремя допы начала делать :-D ещё раз сябки
Leana001: А как в лучшее отметить? Или только звёздочки ставить надо?
meinvizible: я не вкурсе )))))
Ответ дал: lsromanyuk0405
0

Ответ:

Пошаговое объяснение:

Приложения:
Вас заинтересует