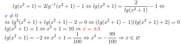
Lg(x^2+1)=2lg^-1(x^2+1)-1
ПОМОГИТЕ!!!!!!
7.035
Приложения:

Simba2017:
a^2+a-2=0 дальше сами...
A2=-1
Ответы
Ответ дал:
0
//////////////////////////////////
Приложения:

Вас заинтересует
1 год назад
3 года назад
3 года назад
8 лет назад
8 лет назад