• Предмет: Алгебра
  • Автор: dega7981
  • Вопрос задан 2 года назад

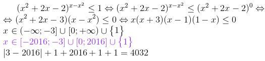
Найдите количество целых решений неравенства

Приложения:

Ответы

Ответ дал: igundane
1

///////////////////////////////////////////

Приложения:

dega7981: А разве тут не система промежутков? или я что то путаю?
igundane: Можете решать системой ,я воспользовался методом рационализации и решал в строчку
igundane: Причём специально показал чем я воспользовался...
dega7981: Хм..4032 не верный. ( или я что то не понял?)
dega7981: Так и какой ответ?
Вас заинтересует