• Предмет: Физика
  • Автор: kirill0667
  • Вопрос задан 2 года назад

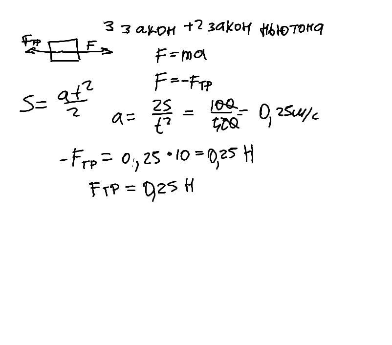
Вагон массой m = 10 т после толчка тепловоза за про-
межуток времени t = 20 с прошел путь s = 50 ми
остановился. Определите силу трения Fтр.​

Ответы

Ответ дал: kitkatishka
1

Ответ:

Объяснение:

вот

Приложения:

kitkatishka: я уже не помню знак остаётся или нет у силы трения
kitkatishka: я тут немного торопясь накасячила и забыла запятую перенести там будет 2,5
kirill0667: хорошо
Вас заинтересует