• Предмет: Математика
  • Автор: Ddang
  • Вопрос задан 2 года назад

Чему равна Площадь фигуры, ограниченной линиями y= x2-6x+8 , y=-x+2

Ответы

Ответ дал: Анька2107
0

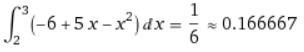
Ответ:

S = 1/6

Пошаговое объяснение:

y = x^2 - 6x + 8

y = - x + 2

Приложения:
Вас заинтересует